Ojima:PR100230p

From Metabolomics.JP
Jump to: navigation, search
General Index

All Molecules
KOX PR PBX COX

Ion Frequency Prec.-Product Neutral Loss Help





PR100230.png
Luteolin

Contents

Top 10 Similar Molecules of Luteolin


Links

Annotations

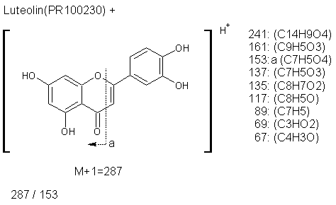
Fragmentation:PR100230p.png


Precursor-Product Relationship

PR100230p 287
C15H11O6
241
C14H9O4
161
C9H5O3
153
C7H5O4
137
C7H5O3
135
C8H7O2
117
C8H5O
89
C7H5
69
C3HO2
67
C4H3O
287 C15H11O6


241 C14H9O4 CH2O2


161 C9H5O3 C6H6O3 C5H4O


153 C7H5O4 C8H6O2 C7H4


137 C7H5O3 C8H6O3 C7H4O C2 O


135 C8H7O2 C7H4O4 C6H2O2


117 C8H5O C7H6O5 C6H4O3 CO2 H2O


89 C7H5 C8H6O6 C7H4O4 C2O3 O4 O3 CH2O2 CO


69 C3HO2 C12H10O4 C11H8O2 C6H4O C4H4O2 C4H4O C5H6


67 C4H3O C11H8O5 C10H6O3 C5H2O2 C3H2O3 C3H2O2 C4H4O C4H2



(pos/neg)<<First Page   (pos/neg)<Previous Page

Next Page>(pos/neg)   Last Page>>(pos/neg)

Personal tools
Namespaces

Variants
Actions
Navigation
metabolites
Toolbox